Fan’s Blog
  • 关于我
  • English
  • AIML Wizard
  • System Design
  • Algorithms Handbook
  • Coding
  • Index
关于我
English
AIML Wizard
System Design
Algorithms Handbook
Coding
Index

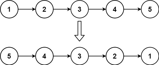
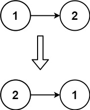
[Leetcode 206] 反转链表

[Leetcode 206] 反转链表
Buy Me a Coffee
  • Author:Fan Luo
  • URL:https://fanluo.me/article/leetcode-206-反转链表
  • Copyright:All articles in this blog adopt BY-NC-SA agreement. Please indicate the source!
上一篇
[Leetcode 204] 质数计数
下一篇
[Leetcode 208] 实现 Trie
Next

[Leetcode 208] 实现 Trie

Relate Posts

[Leetcode 3] 无重复字符的最长子串

[Leetcode 5] 最长回文子串

[Leetcode 11] 盛最多水的容器

[Leetcode 18] 四数之和

[Leetcode 19] 删除链表的倒数第 N 个节点

[Leetcode 21] 合并两个有序链表

Fan Luo

Fan’s Blog

Fan Luo
Info
About
Contact
Links
GitHub
LinkedIn
© 2026 Fan Luo. All rights reserved.